アミノ酸の構造と性質
ヒトのからだを構成するタンパク質は20種類のアミノ酸で出来ていますが、そのうち9種のアミノ酸はヒトの体内では合成されず、食事から摂取する必要があります。これらのアミノ酸は必須アミノ酸と呼ばれ、ヒトの場合、ヒスチジン、イソロイシン、ロイシン、リジン、メチオニン、フェニルアラニン、スレオニン、トリプトファン、バリンが該当します。
アミノ酸検査 (18種) では、食品中のタンパク質を構成するアミノ酸含有量を個別に測定することが出来ます。本コラムでは、各アミノ酸の構造についてご紹介します。
目次
タンパク質構成アミノ酸
各アミノ酸の名称及び略号
20種のタンパク質構成アミノ酸を表1に示します。これらのアミノ酸は英語3文字や1文字の略号で表記します。
表1 タンパク質構成アミノ酸
| 必須アミノ酸 | 非必須アミノ酸 | ||||||
|---|---|---|---|---|---|---|---|
| No. | 3文字 | 1文字 | アミノ酸 | No. | 3文字 | 1文字 | アミノ酸 |
| 1 | Ile | I | イソロイシン | 10 | Ala | A | アラニン |
| 2 | Thr | T | スレオニン | 11 | Arg | R | アルギニン |
| 3 | Trp | W | トリプトファン | 12 | Asn | N | アスパラギン |
| 4 | Val | V | バリン | 13 | Asp | D | アスパラギン酸 |
| 5 | His | H | ヒスチジン | 14 | Cys | C | システイン |
| 6 | Phe | F | フェニルアラニン | 15 | Gln | Q | グルタミン |
| 7 | Met | M | メチオニン | 16 | Glu | E | グルタミン酸 |
| 8 | Lys | K | リジン | 17 | Gly | G | グリシン |
| 9 | Leu | L | ロイシン | 18 | Pro | P | プロリン |
| ー | 19 | Ser | S | セリン | |||
| 20 | Tyr | Y | チロシン | ||||
構造
基本構造
20種のタンパク質構成アミノ酸はすべてL体のアミノ酸です (L体についてはこちら)。そのため、アミノ酸の基本構造を立体構造を考慮して示す場合、図1 (b) のようになります。
基本構造に酸性を示すカルボキシル基 (-COOH)と塩基性を示すアミノ基 (-NH2)を1つずつ持っており、この状態では中性を示します。各アミノ酸が酸性なのか塩基性なのか中性なのかは側鎖Rのカルボキシル基やアミノ基の有無によって決まり、また、親水性や疎水性も側鎖によって変わります。

図1 アミノ酸の基本構造 (a) 及び立体構造を考慮した表記 (b)
疎水性アミノ酸 (中性)
20種のアミノ酸のうち、図2に示す9種のアミノ酸は、側鎖RにCとHのみで構成される炭化水素や6つのCが環状に結合したベンゼン環など、水との親和性が低いものを持つため、疎水性を示します。また、側鎖に酸性を示すカルボキシ基あるいは塩基性を示すアミノ基を持たないため中性アミノ酸となります。

図2 疎水性アミノ酸の構造
親水性アミノ酸 (中性)
図3に示す6種のアミノ酸は、側鎖にヒドロキシ基 (-OH) やアミド基 (-CONH2) など水との親和性が高いものを持つため、親水性を示します。また、側鎖に酸性を示すカルボキシ基あるいは塩基性を示すアミノ基を持たないため中性アミノ酸となります。

図3 親水性アミノ酸 (中性) の構造
親水性アミノ酸 (酸性)
図4に示す2種のアミノ酸は、側鎖に水との親和性が高いカルボキシル基 (-COOH) を持つため、親水性を示します。また、側鎖に酸性を示すカルボキシル基を持つため、酸性アミノ酸となります。

図4 親水性アミノ酸 (酸性) の構造
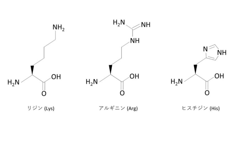
親水性アミノ酸 (塩基性)
図5に示す3種のアミノ酸は、側鎖にそれぞれアミノ基 (-NH2)、グアニジノ基 (-NHCONH2)、イミダゾール基 (五員環部分:CCHNHCHN) を持ち、親水性を示します。また、これらの側鎖は塩基性を示すため、塩基性アミノ酸となります。

図5 親水性アミノ酸 (塩基性) の構造
まとめ
以上、タンパク質構成アミノ酸の各構造についてご紹介しました。
おさらいすると・・・
食環境衛生研究所の検査について
弊社ではタンパク質構成アミノ酸を検査するアミノ酸検査 (18種) の他、うま味に関わる遊離アミノ酸、その他栄養表示成分検査も行っております。相談等もお受けしていますのでお気軽にお問い合わせください。
関連記事
「アミノ酸検査」と「遊離アミノ酸検査」の違い
味に関わるおいしい話③ アミノ酸(タンパク質構成アミノ酸と遊離アミノ酸)について