分娩前後の母豚への抗酸化剤補給による新生子豚の生存率への効果
(ピッグジャーナル2014年12月号掲載)
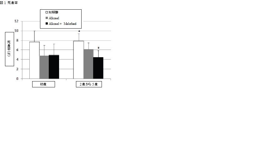
分娩前後の母豚への抗酸化剤補給による子豚の出生時生存率に対する効果
Effect of antioxidant supplementation to the sows at peripartum on pigles survival at birth
1.序論
妊娠と分娩は母豚だけでなく新生豚に対しても酸化ストレスがかかるものである。酸化ストレスの強度は妊娠初期で高く、胎児の臓器や組織の形成期は一時的に中程度となり、妊娠末期まで徐々に増加する。
抗酸化剤を適切に補給することで、新生子の成長、発達および活力を促すことができるため繁殖成績を最大限に高めることができる。
以前の報告で、既に子豚の離乳から発情までの期間に母豚に対して抗酸化剤を与えることによって、同腹における未熟子豚の割合および出生時体重に対して利益ある効果を示した。
本研究では、母豚への抗酸化剤補給による子豚の出生時生存率に対する効果を調査した。
2.材料と方法
試験に用いた抗酸化剤は、グルタチオンペルオキシダーゼの補因子として働く有機セレン(Alkosel:1g/母豚/日)と凍結乾燥したメロンの濃縮果汁から得られたスーパーオキシドジスムターゼ(Melofeed:0.3g/母豚/日)であり、分娩前8日から子豚が離乳するまで母豚に与えた。
野外試験は、169頭の母豚に対して行った。63頭にはAlkoseの給与を(以下、A群)、54頭にはAlkoselとMelofeedの両方を(以下、A+M群)、残りの52頭は給与無しとした(以下、対照群)。
出生時の死産率および2匹以上死産胎子が認められた母豚の割合を計算した。一腹子数を考慮するために、本試験における死産胎子数の割合は各農場において以下の式にて比較している。
死産率=0.87×産子数-4.04
データはliner mixed model により統計処理した。
3.結果
死産率は対照群と比較するとA+M群において半分に減少した。2産から5産においては、A群が中間に位置した(図1)。これは初産の母豚においても認められた。
加えて、A+M群では2匹以上死産胎子が認められた母豚の割合も減少した。 A群はA+M群と対照群の中間に位置した(表1)。

4.結論と考察
スーパーオキシドジスルムターゼ(一次抗酸化剤)と有機セレン(二次抗酸化剤)は初産から5産の母豚における子豚の死産率減少に対して相乗効果を示した。
次の段階では、高産歴に対する本抗酸化剤の効果を分析する予定である。
5.一言
今回の結果から抗酸化剤が繁殖成績を改善する効果が示され、さらに作用メカニズムの異なる。
抗酸化剤を併用することによって改善効果が更に高められることが示された。このことから抗酸化剤が豚の繁殖に良い効果があることがわかった。今後、抗酸化剤の臨床的研究が進めば更なる養豚の発展に寄与すると期待される。
抗酸化剤を併用することによって改善効果が更に高められることが示された。このことから抗酸化剤が豚の繁殖に良い効果があることがわかった。今後、抗酸化剤の臨床的研究が進めば更なる養豚の発展に寄与すると期待される。
Proceeding of the 23rd IPVS Congress ,Cancum ,Mexico-June 8-11,2014 P.206