アミノ酸の基本構造とは?
まえがき
ヒトのからだを構成するタンパク質は20種類のアミノ酸で出来ていますが、そのうち9種のアミノ酸はヒトの体内では合成されず、食事から摂取する必要があります。これらのアミノ酸は必須アミノ酸と呼ばれ、ヒトの場合、ヒスチジン、イソロイシン、ロイシン、リジン、メチオニン、フェニルアラニン、スレオニン、トリプトファン、バリンが該当します。
アミノ酸検査 (18種) では、食品中のタンパク質を構成するアミノ酸含有量を個別に測定することが出来ます。本コラムでは、アミノ酸の構造についてご紹介します。
アミノ酸の基本
基本構造
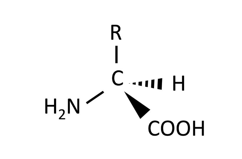
アミノ酸とは、酸性のカルボキシル基 (-COOH) と塩基性のアミノ基 (-NH2) を持つ化合物であり、アミノ酸の種類によって異なる側鎖 (R) を持ちます (図1a)。
炭素は4本の手を持っており、その立体構造は四面体となります (図1b)。アミノ酸の基本構造を、立体構造を考慮し表記する場合、図1b黄色のように四面体の手前にある原子の結合は▲で表し、図1b青色のように奥側にある原子の結合はしま模様で表します (図2)。

図1 アミノ酸の基本構造 (a) と立体構造 (b)

図2 アミノ酸の構造の表記法
光学異性体 (鏡像異性体)
アミノ酸はグリシン (側鎖RがH) を除き、1つの炭素に4つの異なる原子が結合しています。このように、4つの異なる原子が結合している炭素を『不斉炭素』と呼びます。
不斉炭素を持つ化合物は、図3のように鏡に映った自分自身とは異なる立体構造をとり、両者がぴったりと重なり合うことはありません。このような化合物を『光学異性体』あるいは『鏡像異性体』と呼びます。
グリシンの場合、1つの炭素に2つのHが結合しており不斉炭素を持ちません。そのため、鏡に映った自分自身と同じ立体構造をとり、光学異性体を持ちません (図4)。

図3 光学異性体

図4 グリシンの立体構造
L体とD体
グリシンを除くアミノ酸は光学異性体を持つため、一方をL体、もう一方をD体と呼んで区別しており、これらが1対1で混合しているものはDL体と呼びます。タンパク質は基本的にL体のアミノ酸で構成されています。
L体及びD体は”CORNルール”に基づき区別されます。水素原子 (H) を奥側に配置した際、COOH → R → NH2の配置が反時計回りだとL体、時計回りだとD体となります (図5)。

図5 CORNルールに基づくL体及びD体の区別
まとめ
以上、アミノ酸の構造についてご紹介しました。おさらいすると・・・
次回のコラムでは、タンパク質を構成する各アミノ酸の構造についてご紹介します。
あとがき
弊社ではタンパク質構成アミノ酸を検査するアミノ酸検査 (18種) の他、うま味に関わる遊離アミノ酸、その他栄養表示成分検査も行っております。相談等もお受けしていますのでお気軽にお問い合わせください。
・アミノ酸検査 (18種) はこちら → 『アミノ酸検査 (18種)』
・遊離アミノ酸検査 (20種) はこちら → 『遊離アミノ酸検査 (20種)』
・栄養表示成分検査等はこちら → 『食品表示栄養成分検査』
・お問い合わせはこちら →『お問い合わせ』
関連情報
>>「アミノ酸検査」と「遊離アミノ酸検査」の違いはこちら
>>味に関わるおいしい話③ アミノ酸(タンパク質構成アミノ酸と遊離アミノ酸)について